• Предмет: Математика
  • Автор: koladadima351
  • Вопрос задан 1 год назад

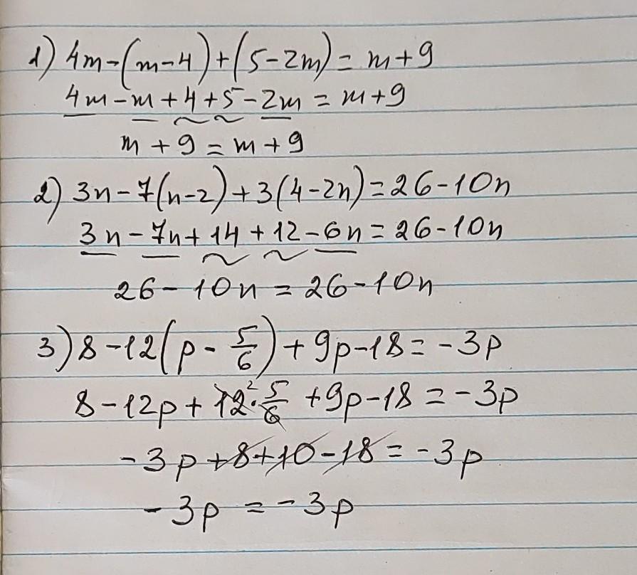
помогите решить пожалуйста даю 25 далов​

Приложения:

Аноним: напишіть свій інст, там допоможу з вирішенням

Ответы

Ответ дал: tetamotatetyamotya
0

Ответ:

...............

Пошаговое объяснение:

..............

Приложения:
Вас заинтересует