• Предмет: Математика
  • Автор: 20bronza09
  • Вопрос задан 1 год назад

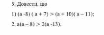
довести то что на фото

Приложения:

Ответы

Ответ дал: covacotina
1

Пошаговое объяснение:

1) a^2 + 7a - 8a - 56 > a^2 - 11a + 10a - 110

7a - 8a - 56 > -11a + 10a - 110

-a - 56 > -a - 110

-56 > - 110

утверждение верно

2) a^2 - 8a > 2a - 26

x^2 - 8x - 2x + 26 > 0

x^2 - 10x + 26 > 0

и поскольку a>0 то левая часть неравенства всегда положительна, следовательно утверждение истинно,для всех значений.

утверждение верно.

Вас заинтересует