Ответы
Ответ дал:
0
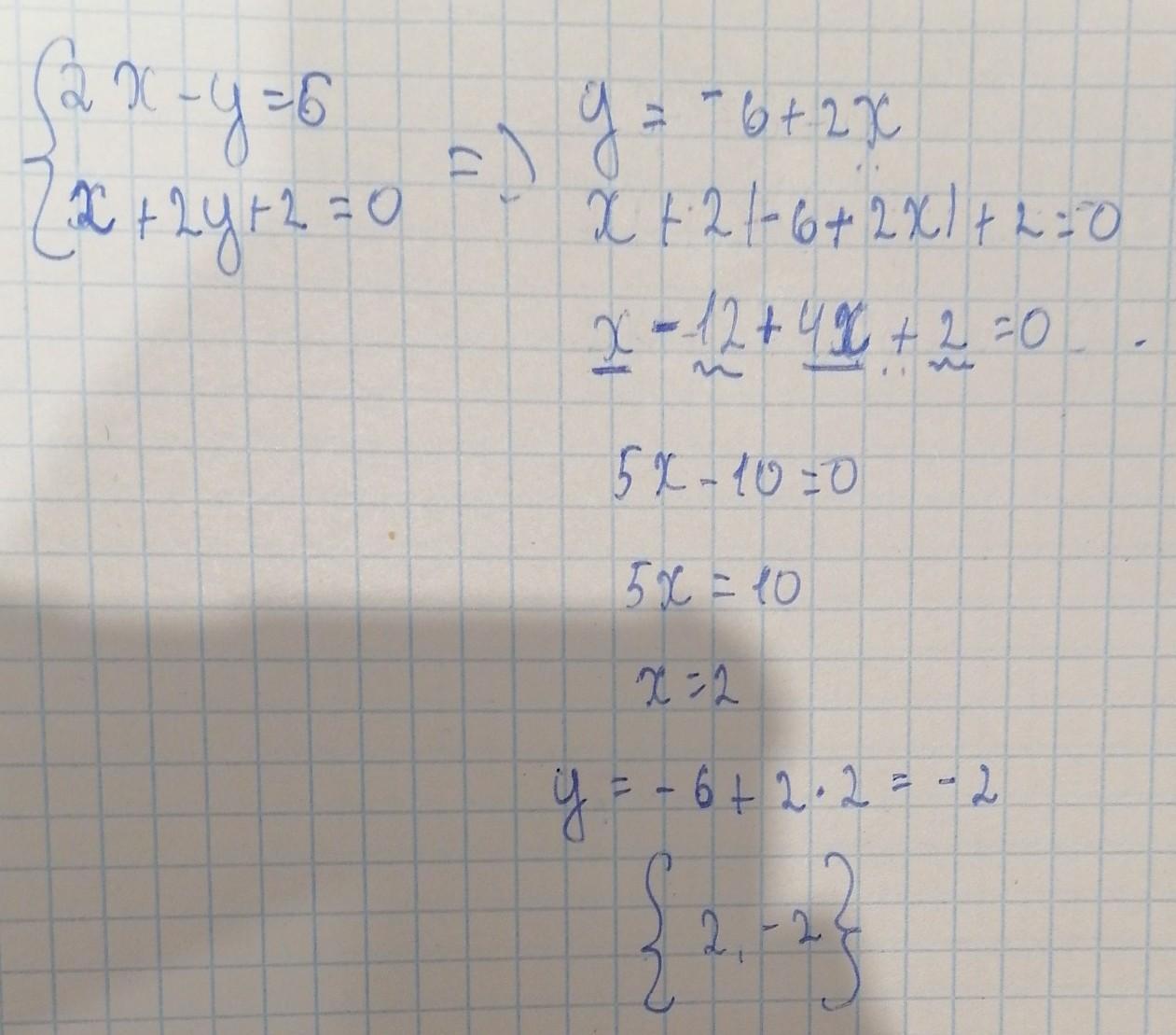
Ответ: y=2x-6
x+4x-12+2=0
5x=10
x=2
y=-2
Объяснение:
лучший ответ плиз
Ответ дал:
0
ответ: (2;-2)............,.....,......
Приложения:

Goldivans:
что написано в первом и втором примере? (которые во втором столбике)
Вас заинтересует
1 год назад
1 год назад
1 год назад
2 года назад
2 года назад
8 лет назад