• Предмет: Алгебра
  • Автор: petrsalena8
  • Вопрос задан 1 год назад

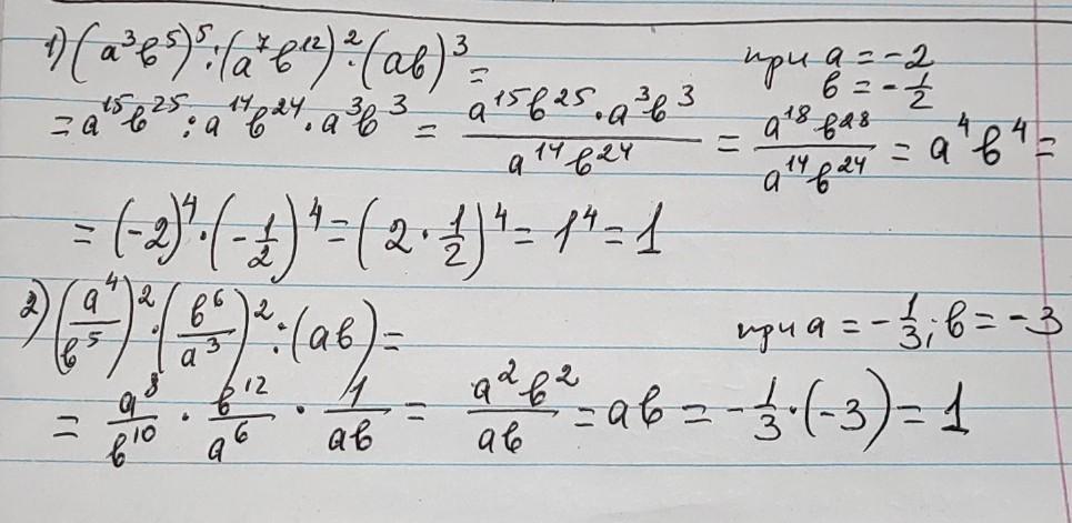
5.13 найдите значение
(а⁴/b⁵)² × (b⁶/a³)² : (ab) при a= -1/3, b= -3​

Приложения:

Ответы

Ответ дал: tetamotatetyamotya
3

Ответ:

................

Объяснение:

..............

Приложения:

petrsalena8: спасибо большое
tetamotatetyamotya: на здоровье.
samigulinasabinur467: спасибо:D
Вас заинтересует