• Предмет: Алгебра
  • Автор: aleksejsandrygin090
  • Вопрос задан 2 года назад

решите пж,срочно я очень рад буду​

Приложения:

Ответы

Ответ дал: kirillpukita5
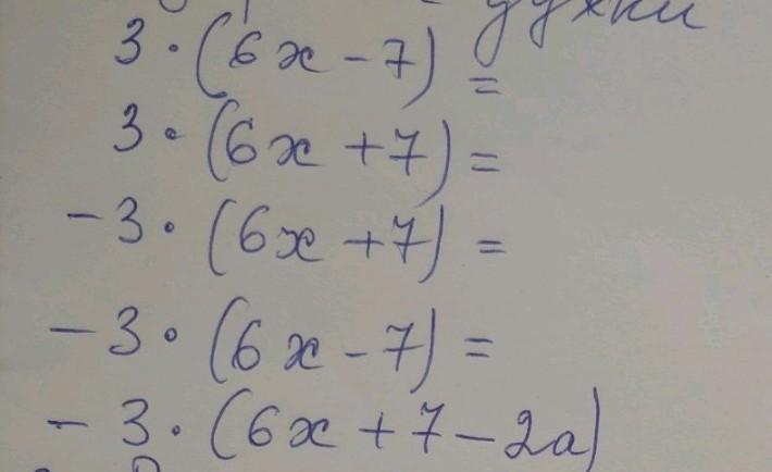
1

Ответ:

18x-21

18x+21

-18x-21

-18x+21

-18x-21+6a


aleksejsandrygin090: Чел,это неправильные ответы,мне объяснили,банально в 1 получается 7/6
aleksejsandrygin090: Неправильное решение
Вас заинтересует