• Предмет: Алгебра
  • Автор: bobikbanana
  • Вопрос задан 2 года назад

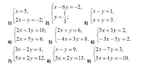
Розв'яжіть системи рівнянь будь ласка:(((​

Приложения:

Ответы

Ответ дал: 202emailmy3562
1

1. х=5, у=12.

2. х=0, у=1\3.

3. х=2, у=1.

4. х=8, у=-2.

5. х=-1, у=4.

6. х=0, у=0.

7. х=2, у=1.

8. х=5, у=-4.

9. х=-5, у=3.

Вас заинтересует