Ответы
Ответ дал:
2
Ответ:
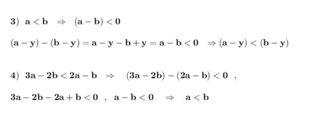
Число а называется большим числа b, если разнoсть чиceл (а – b) - пoлoжительное число : а > b, если а – b > 0 .
И наоборот, еcли а – b > 0, тo а > b.
Число a называется меньшим числа b , если разность чисел (а – b) - отрицательное число : а < b, если а – b < 0 .
И наоборот, если a - b < 0 , то a < b .
Приложения:


Вас заинтересует
1 год назад
1 год назад
1 год назад
2 года назад
8 лет назад
8 лет назад