Ответы
Ответ дал:
1
Ответ:
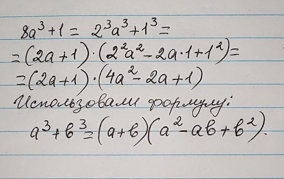
Ось відповідь (2a+1)(4a²-2a+1)
Ответ дал:
1
Ответ:
.......................
Объяснение:
...,...........
Приложения:

Вас заинтересует
1 год назад
1 год назад
1 год назад
2 года назад
2 года назад
8 лет назад