• Предмет: Алгебра
  • Автор: anacist250
  • Вопрос задан 2 года назад


Допоможіть будь ласка, завдання на фото ​

Приложения:

Ответы

Ответ дал: Alnadya
2

Решение .

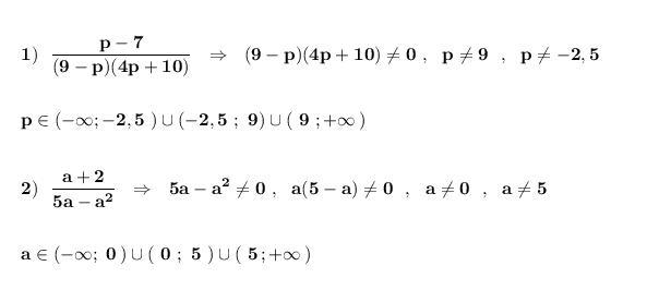
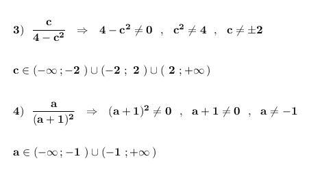
Дробь имеет смысл, если знаменатель не равен 0 . Исходя из этого находим допустимые значения переменных .

\displaystyle \bf 1)\ \ \frac{p-7}{(9-p)(4p+10)}\ \ \Rightarrow \ \ (9-p)(4p+10)\ne 0\ ,\ \ p\ne 9\ \ ,\ \ p\ne -2,5\\\\\\p\in (-\infty ;-2,5\ )\cup (-2,5\ ;\ 9)\cup (\ 9\ ;+\infty \, )\\\\\\2)\ \ \frac{a+2}{5a-a^2}\ \ \Rightarrow \ \ 5a-a^2\ne 0\ ,\ \ a(5-a)\ne 0\ \ ,\ \ a\ne 0\ \ ,\ \ a\ne 5\\\\\\a\in (-\infty ;\ 0\, )\cup (\ 0\ ;\ 5\ )\cup (\ 5\, ;+\infty \, )  

\bf 3)\ \ \dfrac{c}{4-c^2}}\ \ \Rightarrow \ \ 4-c^2\ne 0\ \ ,\ \ c^2\ne 4\ \ ,\ \ c\ne \pm 2\\\\\\c\in (-\infty \, ;-2\ )\cup (-2\ ;\ 2\ )\cup (\ 2\ ;+\infty \, )\\\\\\4)\ \ \dfrac{a}{(a+1)^2}}\ \ \Rightarrow \ \ (a+1)^2\ne 0\ \ ,\ \ a+1\ne 0\ \ ,\ \ a\ne -1\\\\\\a\in (-\infty \, ;-1\ )\cup (-1\ ;+\infty \, )        

Приложения:
Вас заинтересует