• Предмет: Геометрия
  • Автор: nettleq
  • Вопрос задан 1 год назад

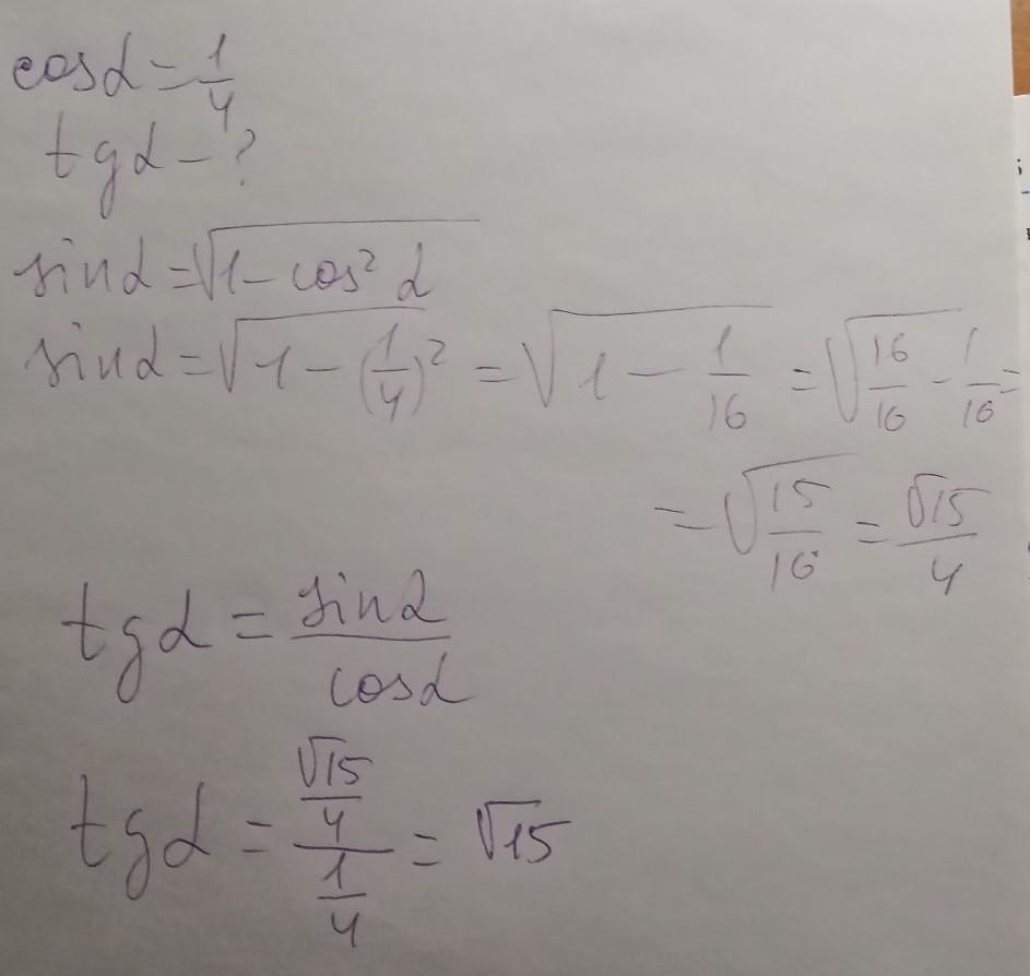
Косинус деякого кута прямокутного трикутника дорівнює 1/4 . Обчисли тангенс цього кута.​

Ответы

Ответ дал: vikaonikienko45
1

Объяснение:

все расписано на фото, з поясненням

Приложения:
Вас заинтересует