• Предмет: Алгебра
  • Автор: Аноним
  • Вопрос задан 2 года назад

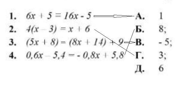
помогите пожалуйста ! или 7 или 8

Приложения:

Ответы

Ответ дал: Alnadya
1

Решение .

8)   Пусть в 1 ящике было  х кг  апельсинов .

Во 2 ящике было  4х кг  апельсинов .

В 3 ящике было  х - 3  кг  апельсинов .

Во всех 3-х ящиках было  75 кг  апельсинов .

Составим уравнение .

х + 4x + (x-3) = 75

6x + 3 = 75

6x = 72

x = 72 : 6

x = 12  

Ответ:  в 1 ящике было  12 кг  апельсинов .

Приложения:
Вас заинтересует