• Предмет: Алгебра
  • Автор: rusik86
  • Вопрос задан 11 лет назад

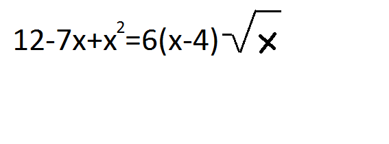
Часть С3 по математике. Решить уравнение:

Приложения:

Ответы

Ответ дал: id127777371
0

x4+49x2+144-7x3-84x+12x2=36*(x2-8x+16)*x

x4+49x2+144-7x3-84x+12x2=36x3-288x2+576x

x4+49x2+144-7x3-84x+12x2-36x3+288x2-576x=0

x4-43x3+349x2-660x+144=0

а далше уравнение по таблице Горнера

Вас заинтересует