ДАЮ 100 БАЛОВ!!!
4. Не виконуючи обчислень, порівняйте значення виразів 235*237 і квадрат числа 236
Ответы
Ответ дал:
1
Ответ:
Ответ:
Ответ:
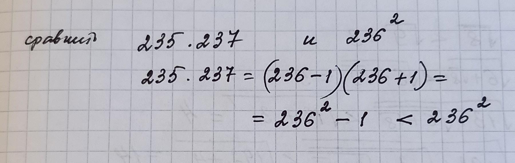
236²>235×237
Ответ дал:
2
Ответ:
Объяснение:
решение на фото
Приложения:

Вас заинтересует
1 год назад
1 год назад
1 год назад
2 года назад
8 лет назад