• Предмет: Алгебра
  • Автор: AcTRICa
  • Вопрос задан 2 года назад

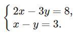
СРОЧНО Розв'яжи систему рівнянь довільним способом. Рівняння на фото

Приложения:

Ответы

Ответ дал: ildar502020
1

Ответ:  (1; -2).

Объяснение:

2x-3y = 8;

x-y=3; =>  x=3+y;

2(3+y)-3y=8;

6+2y-3y=8;

-y=2;

y=-2. Подставляем в  x=3+y:

x=3+(-2);

x=1.


AcTRICa: Чел ты меня спас, спасибо!
Ответ дал: 7x8
0

Ответ:

(1;-2)

Объяснение:

\begin{cases}2x-3y=8\; \\ x-y=3\ | \cdot\left( -3\right)}\end{cases}

\begin{cases}2x-3y=8 \\ -3x+3y=-9\end{cases}

+_____________

-x=-1\ |:\left( -1 \right) \\\\x=1

x - y = 3\\\\1 -y = 3\\\\ -y = 3- 1\\\\ - y = 2\ \ \ |:\left( -1 \right)\\\\y=- 2

(1;-2)

Вас заинтересует