• Предмет: Математика
  • Автор: nounejmnejm72
  • Вопрос задан 1 год назад

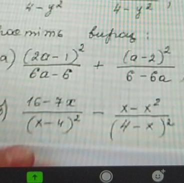
ДОПОМОЖІТЬ СПРОСТИТИ ВИРАЗ!!!! ДАЮ 100 балов

Приложения:

Ответы

Ответ дал: interestinginsects20
0

Ответ:

решение примеров в фотографии

Приложения:
Вас заинтересует