• Предмет: Физика
  • Автор: mirosia83
  • Вопрос задан 2 года назад

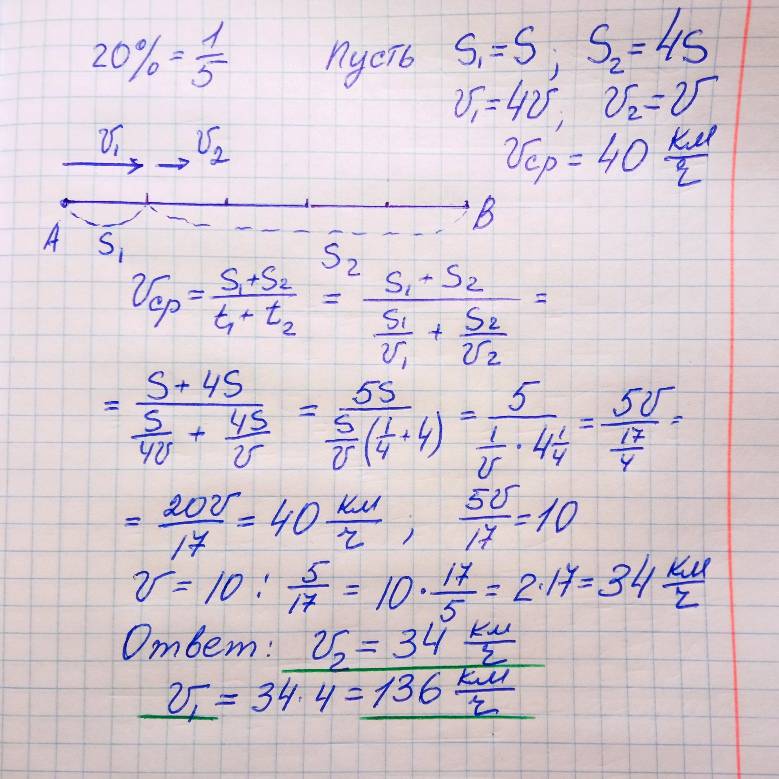
8. Першi 20% усього шляху автомобіль проїхав зі швидкістю, що в 4 рази більша
за швидкість, з якою рухався автомобіль решту шляху. Середня шляхова швидкість
KM
год
на всьому шляху становить 40 Обчисли швидкості руху автомобіля на обох дiлян-
ках шляху.
.

Ответы

Ответ дал: Cohendd
2

Ответ:136 км/ч и 34 км/ч.

Объяснение:

Приложения:

Cohendd: Можно обозначить весь путь S, можно 5S.
Вас заинтересует