• Предмет: Алгебра
  • Автор: miksewq
  • Вопрос задан 1 год назад

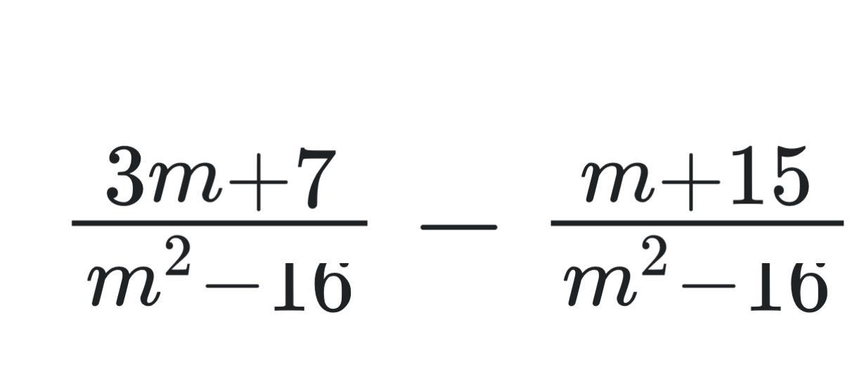
Спрости вираз і знайди його значення, якщо m = -4,5

Приложения:

Аноним: напишіть свій інст, там допоможу з вирішенням

Ответы

Ответ дал: 7x8
6

Ответ:

-4

Объяснение:

\frac{3m+7}{m^2-16}-\frac{m+15}{m^2-16}=\frac{3m+7-m-15}{m^2-16}=\frac{2m-8}{(m-4)(m+4)}=\frac{2(m-4)}{(m-4)(m+4)}=\frac{2}{m+4}\\\\\frac{2}{-4,5+4}=\frac{2}{-0,5}=-\frac{20}{5}=-4

Вас заинтересует