• Предмет: Математика
  • Автор: fsdfgeh
  • Вопрос задан 2 года назад

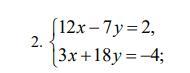
Розв’язати за формулами Крамера і зробити перевірку

Приложения:

Ответы

Ответ дал: katyakolyadova56
2

Відповідь:

Покрокове пояснення:

Приложения:
Вас заинтересует