• Предмет: Алгебра
  • Автор: milenamanuchary
  • Вопрос задан 1 год назад

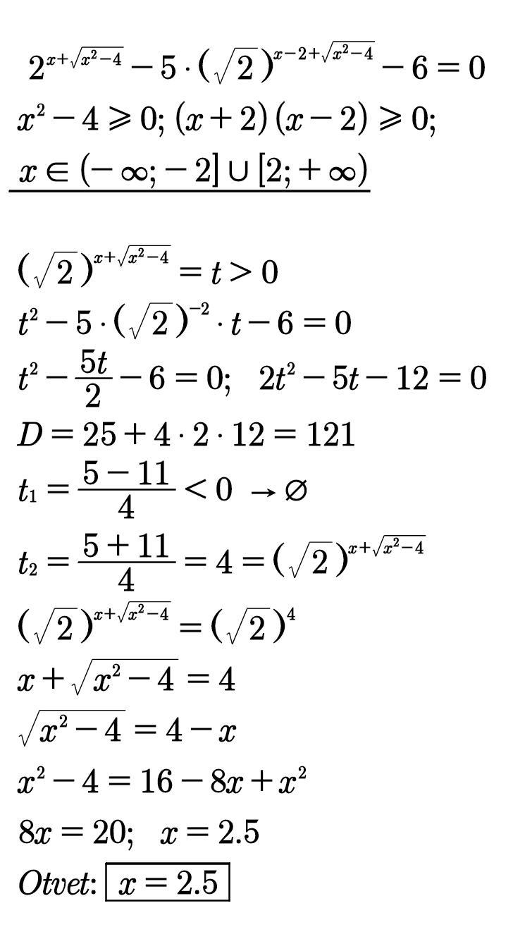
Решите через замену, пожалуйста: (\sqrt2)^{x+\sqrt{x^{2}-4} } = t
40 баллов

Приложения:

Ответы

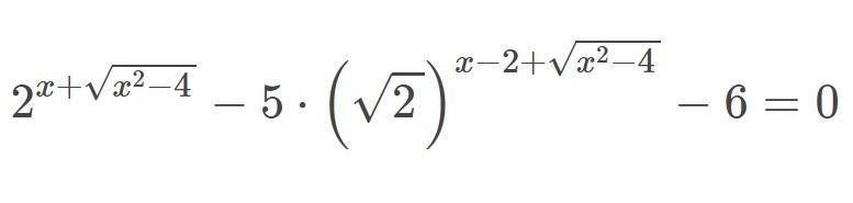
Ответ дал: tamarabernukho
1

Ответ:

x=2.5

Объяснение:

....................

Приложения:

alice12324: Пожалуйста решение с рисунками.

1) Сколько ребер, граней, вершин имеет 14-угольная призма?

2) Стороны основания прямоу...
https://znanija.com/task/53402113?utm_source=android&utm_medium=share&utm_campaign=question
alice12324: посмотрите пожалуйста этот вопрос
Lera89012: 1)14 вершин, 21 рёбер
masha01021: здравствуйте,можете помочь пожалуйста
Вас заинтересует