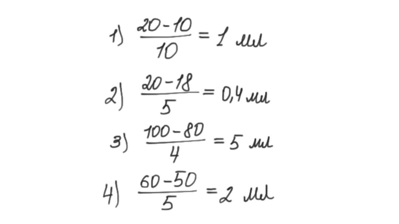
помогите пожалуйста написать цену деления шкалы прибора, нужно все эти четыре сделать
Приложения:

Ответы
Ответ дал:
1
Відповідь:
Почснення:
Приложения:

ponmilk:
спасибо большое
Вас заинтересует
1 год назад
1 год назад
1 год назад
2 года назад
2 года назад
8 лет назад