• Предмет: Физика
  • Автор: alievziya189
  • Вопрос задан 2 года назад

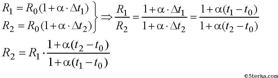
2. Сопротивление медного проводника при температуре 0°С 4 Ом. Определите сопротивление проводника при температуре - 180°C Даю 30 баллов срочно надо!!​

Ответы

Ответ дал: asatryananush
0

Ответ:………………………..

Объяснение:

Приложения:
Вас заинтересует