• Предмет: Алгебра
  • Автор: k3528765
  • Вопрос задан 2 года назад

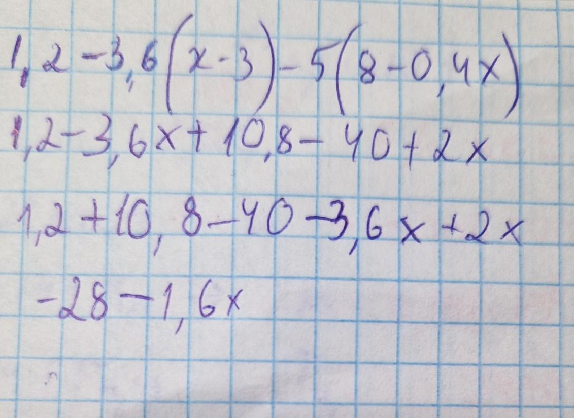
6. Розв'яжіть рiвняння: 1,2 - 3,6( x-3) - 5 ( 8 -0,4x). СРОЧНО и с Объяснением ​

Ответы

Ответ дал: dani4ka71
0

Объяснение:

Его можно дорешать, но я не помню как спроси у кого-то) может кто нибудь знает)

Приложения:
Вас заинтересует