• Предмет: Алгебра
  • Автор: Аноним
  • Вопрос задан 2 года назад

ДАЮ 70 БАЛЛОВ ВОПРОСЫ ИЗИ

Приложения:

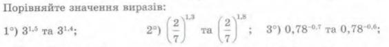
lavrturcak: 1. >

Ответы

Ответ дал: lavrturcak
0

Ответ:

1. > 2.>3 <

Объяснение:

Вас заинтересует