• Предмет: Алгебра
  • Автор: semyons26
  • Вопрос задан 2 года назад

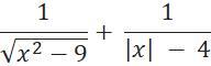
Срооочно!!!! пожалуйста!!!!Найдите область определения выражений:

Приложения:

Ответы

Ответ дал: 7x8
1

Ответ:

(-\infty;-4)\cup(-4;-3)\cup(3;4)\cup)(4;+\infty)

Объяснение:

1.\\\\x^2-9 > 0\\\\(x+3)(x-3) > 0\\\\x\in(-\infty;-3)\cup(3;+\infty)

2.\\\\|x|-4=0\\\\|x|=4\\\\x=-4\ \ \ \ \ \ \ \ \ \ x=4\\\\x\in R\setminus\{-4;4\}

----------

x\in (-\infty;-4)\cup(-4;-3)\cup(3;4)\cup)(4;+\infty)

Вас заинтересует