• Предмет: Алгебра
  • Автор: semyons26
  • Вопрос задан 2 года назад

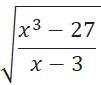
Срооочно!! пожалуйста!!!!Найдите область определения выражений:

Приложения:

Ответы

Ответ дал: 7x8
0

Ответ:

R\setminus \left\{3\right\}

Объяснение:

\sqrt{\frac{x^3-27}{x-3}}

1.

x-3 \neq 0\\\\ x \neq 3

2.

\frac{x^3-27}{x-3} \ge 0

\frac{(x - 3)(x^2 + 3x + 9)}{x-3} \ge 0

x^2 + 3x + 9\ge 0

x\in R

----

x\in R\setminus \left\{3\right\}

Вас заинтересует