Ответы
Ответ дал:
1
Ответ:
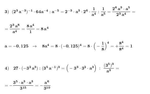
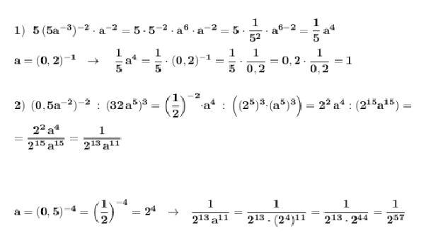
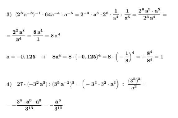
Представить в виде степени и найти значение выражения .
Применяем свойства степеней (смотри вложение) .
Приложения:



Вас заинтересует
1 год назад
2 года назад
2 года назад
8 лет назад