• Предмет: Алгебра
  • Автор: tanushaaa93
  • Вопрос задан 2 года назад

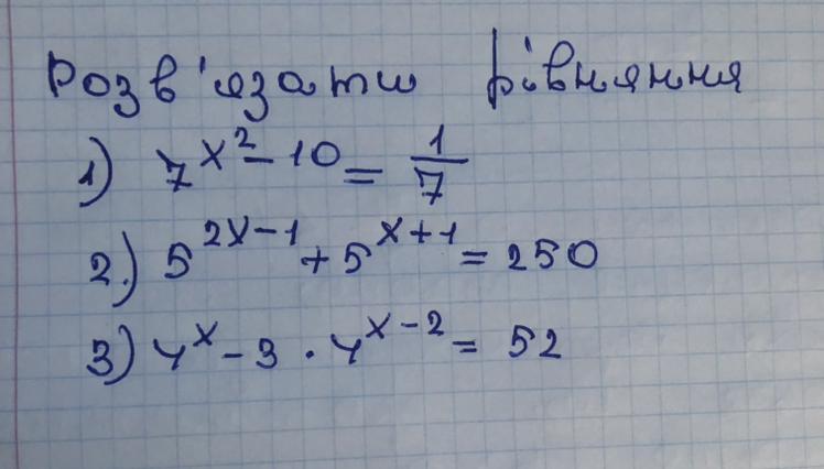
Розвʼязати рівняння, даю 70 балів , рівняння на фото

Приложения:

Ответы

Ответ дал: NNNLLL54
1

Ответ:

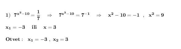
Показательные уравнения .

1) Приводим левую и правую части уравнения к показательным функциям с одинаковым основанием .

\bf 7^{x^2-10}=\dfrac{1}{7}\ \ \ \Rightarrow \ \ \ 7^{x^2-10}=7^{-1}\ \ \ \Rightarrow \ \ \ x^2-10=-1\ \ ,\ \ x^2=9\\\\x_1=-3\ \ \ \ ili\ \ \ \ x=3\\\\Otvet:\ \ x_1=-3\ ,\ x_2=3\\\\\\2)\ \ 5^{2x-1}+5^{x+1}=250    

Приводим уравнение к квадратному относительно  \bf 5^{x}   .

\bf 5^{2x}\cdot 5^{-1}+5^{x}\cdot 5-250=0\\\\(5^{x})^2\cdot \dfrac{1}{5}+5^{x}\cdot 5-250=0\\\\zamena\ :\ \ t=5^{x} > 0\ \ ,\ \ \ \dfrac{1}{5}\cdot t^2+5\, t-250=0\ \ ,\ \ t^2+25\cdot t-1250=0\ ,\\\\D=b^2-4ac=25^2+4\cdot1250=5625=75^2\ \ ,\\\\t_1=\dfrac{-25-75}{2} =-50\ \ ,\ \ \ t_2=\dfrac{-25+75}{2} =25 > 0

Проводим обратную замену .

\bf 5^{x}=25\ \ \ \to \ \ \ 5^{x}=5^2\ \ ,\ \ \ x=2\\\\Otvet:\ x=2\ .                      

\bf 3)\ \ 4^{x}-3\cdot 4^{x-2}=52\\\\4^{x}-3\cdot 4^{x}\cdot 4^{-2}=52\\\\4^{x}\cdot \Big(1-3\cdot \dfrac{1}{4^2}\Big)=52\\\\4^{x}\cdot \dfrac{13}{16}=52\\\\4^{x}=\dfrac{52\cdot 16}{13}\\\\4^{x}=\dfrac{4\cdot 16}{1}\\\\4^{x}=64\\\\4^{x}=4^3\\\\x=3\\\\Otvet:\ x=3\ .                        

Приложения:
Вас заинтересует