• Предмет: Алгебра
  • Автор: arhe0411
  • Вопрос задан 1 год назад

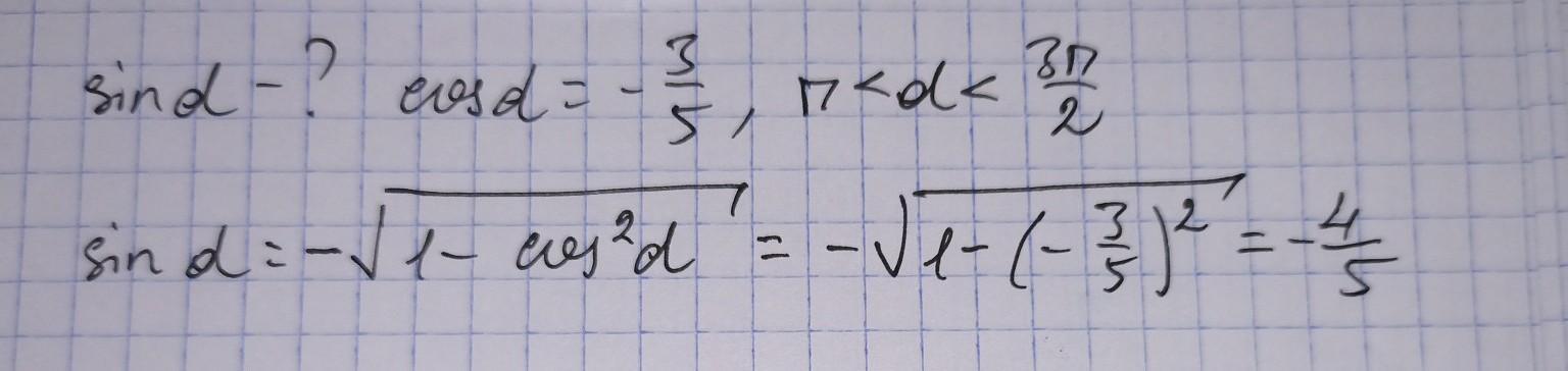
Вычислите ∝, если ∝=−3/5 и <∝<3/2.
А) -4/5
Б) 4/5
В) 1/2

Ответы

Ответ дал: alchetorn
0

Ответ:

А

Объяснение:

на фото

.............

Приложения:
Вас заинтересует