• Предмет: Математика
  • Автор: domikoybek
  • Вопрос задан 2 года назад

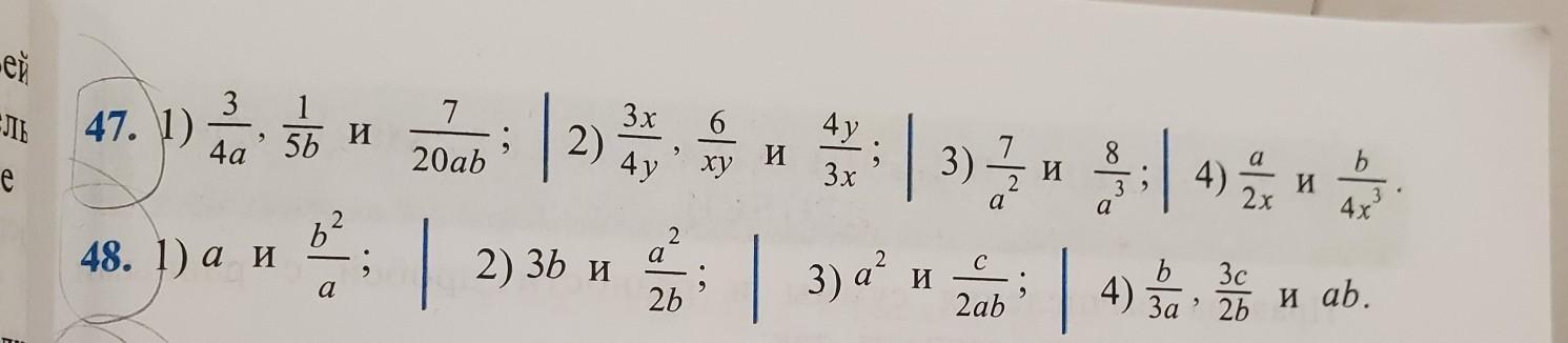
Помогите пожалуйста!​

Приложения:

Ответы

Ответ дал: 4567854
0

Ответ:

Пошаговое объяснение:

ого

Вас заинтересует