Помогите пожалуйста, с полным решением)
Буду очень блогодарна)
Тема: Раціональні вирази. Раціональні дроби.
Приложения:

Ответы
Ответ дал:
0
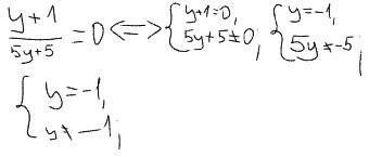
Відповідь:3- ні при якому
Приложения:

Вас заинтересует
1 год назад
1 год назад
2 года назад
2 года назад
8 лет назад
8 лет назад