• Предмет: Алгебра
  • Автор: ritta0609
  • Вопрос задан 2 года назад

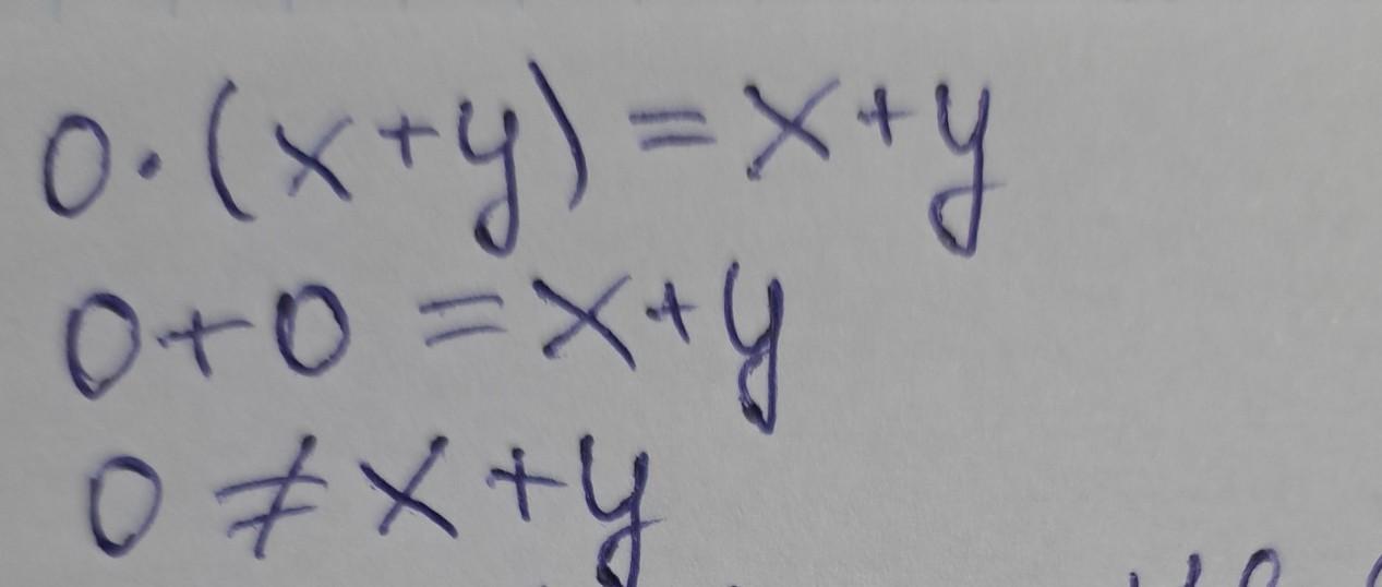
чи є тотожністю рівність 0×(х+у)=х+у?
срочно дам 20 баллов

Ответы

Ответ дал: sashamorozova0509
0

Ответ:

Ця рівність не є тотожністю

Объяснение:

Тотожність - це рівність двох виразів, а в нашому випадку вираз не є тотожністю>

Приложения:
Вас заинтересует