Ответы
Ответ дал:
1
Ответ:
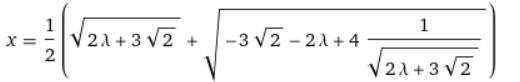
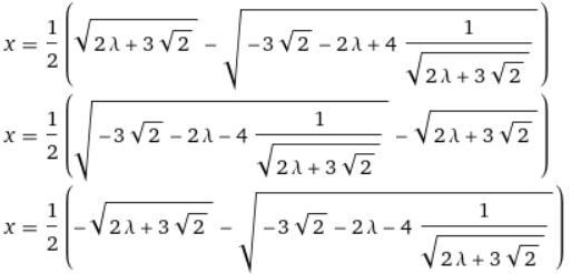
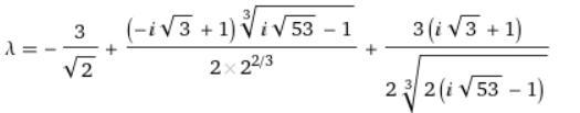
x ≈ -1.0428 - 1.2518
Объяснение:
Приложения:



Вас заинтересует
1 год назад
1 год назад
1 год назад
1 год назад
8 лет назад