• Предмет: Алгебра
  • Автор: Vang73728382
  • Вопрос задан 2 года назад

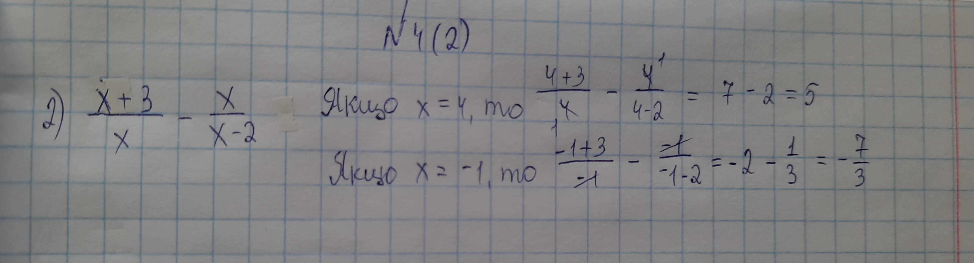
Алгебра 8 клас Олександр Істер книга 2021 года 4 вправа.Даю 35 балов​

Приложения:

Ответы

Ответ дал: MrSergeyGQandA
2

Ответ:

на фото

Ставь ❤

удачи)✨️

Приложения:
Вас заинтересует