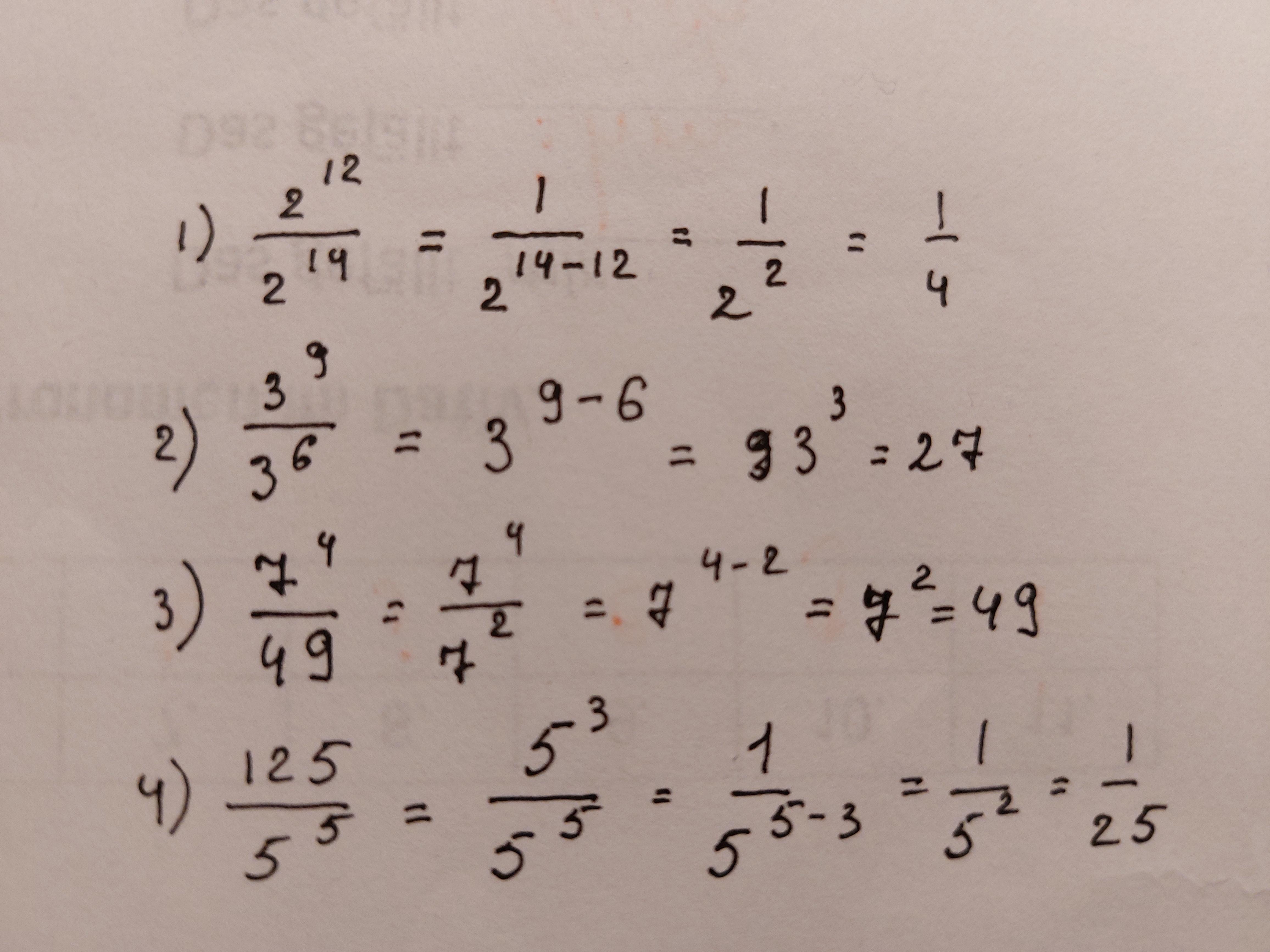
56. Обчисліть значення виразу: 1) (2 ^ 12)/(2 ^ 14) 2) (3 ^ 9)/(3 ^ 6) 3) (7 ^ 4)/49 4) 125/(5 ^ 5)
Ответы
Ответ дал:
1
Відповідь на фото.
При діленні треба від більшого степеня відняти менший.
Приложения:

Вас заинтересует
1 год назад
1 год назад
1 год назад
2 года назад
2 года назад
8 лет назад