Пожалуйста помогите решить задания правильно даю 50 баллов
Приложения:

Simba2017:
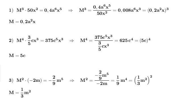
1)M^3=0.008 a^6x^3; M=0.2a^2x
Ответы
Ответ дал:
1
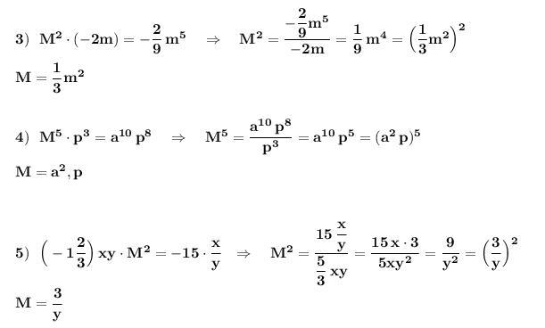
Решение .
М - одночлен . Нужно получить тождества .
Выразим М из заданных равенств .
Приложения:


Вас заинтересует
1 год назад
1 год назад
1 год назад
2 года назад
2 года назад
8 лет назад
8 лет назад