Ответы
Ответ дал:
0
Надеюсь, что все понятно)
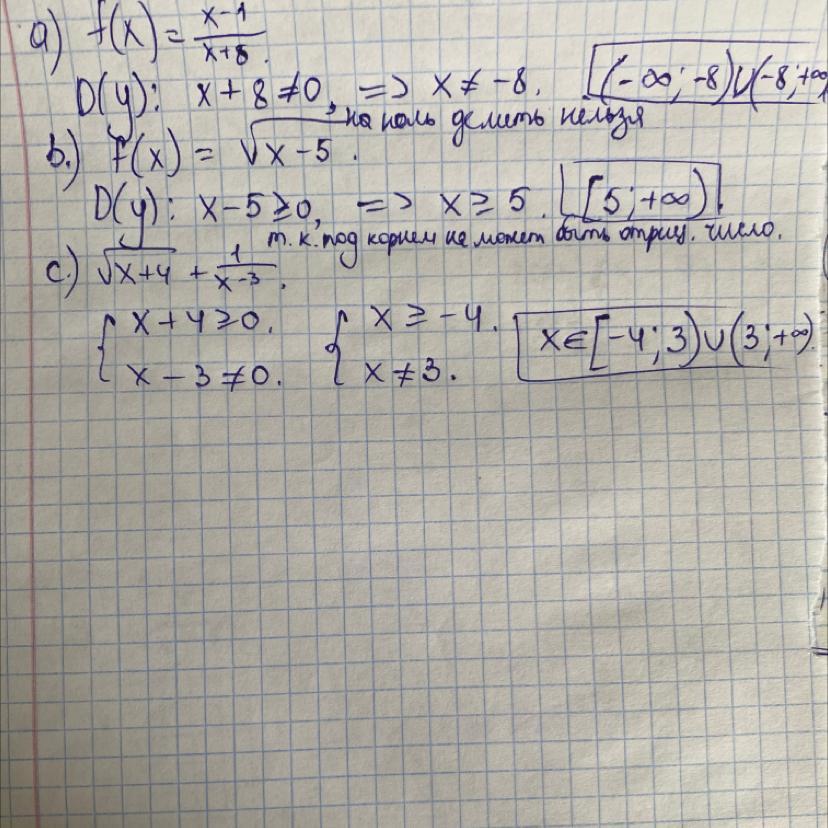
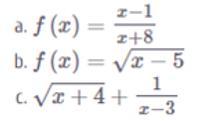
Приложения:

Вас заинтересует
1 год назад
1 год назад
1 год назад
1 год назад
2 года назад
2 года назад
8 лет назад