№1 Знайдіть відстань між точками А і В А(-3:1)В (4:1) 9 КЛАС
Аноним:
напишіть свій інст, там допоможу з вирішенням
Ответы
Ответ дал:
0
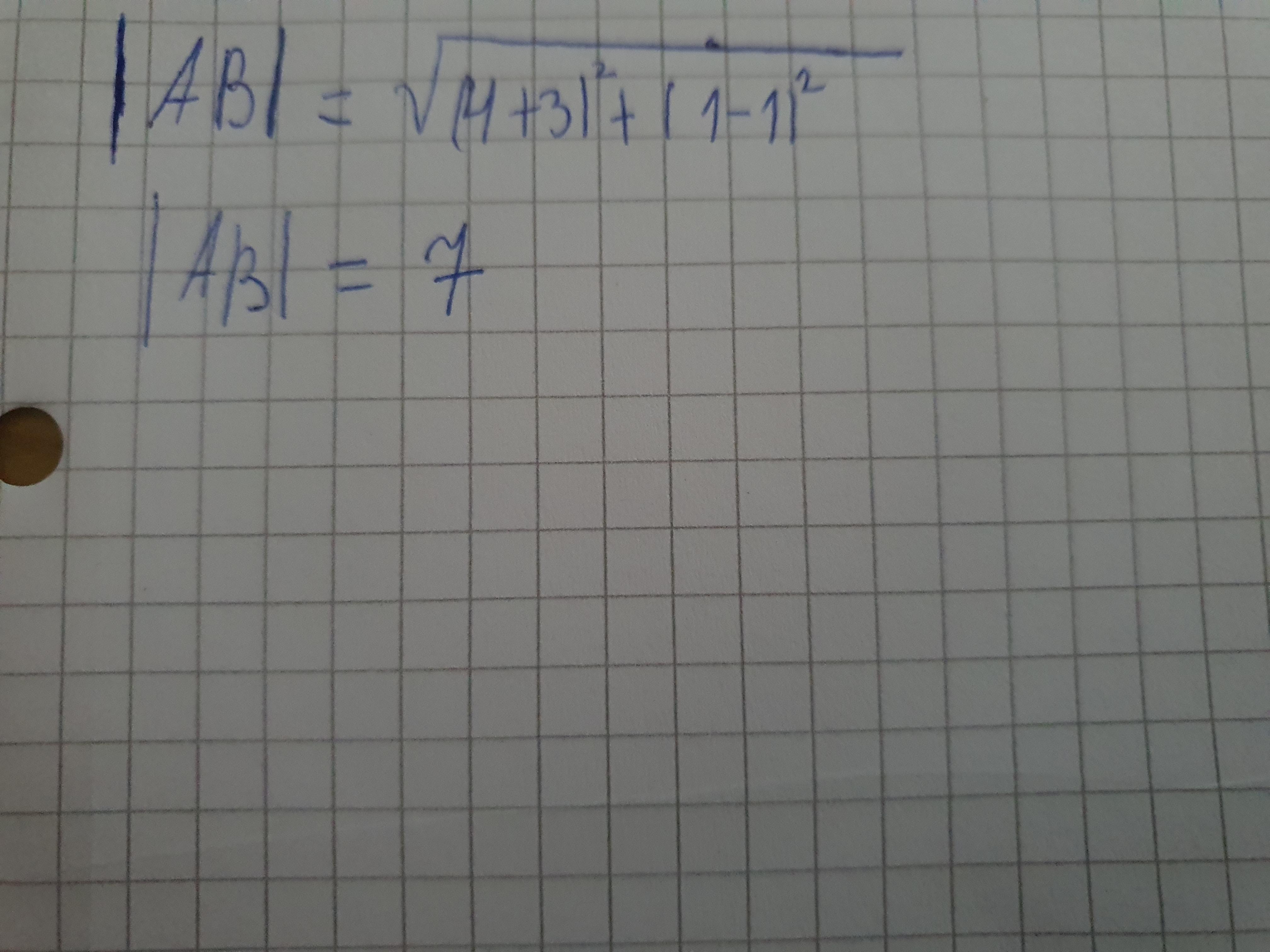
Ответ: ответ в фотографии
Объяснение:
Приложения:

Ответ дал:
0
щоб знайти відстань між точками потрібно 4-(-3)=7
Вас заинтересует
1 год назад
1 год назад
1 год назад