• Предмет: Алгебра
  • Автор: niksii
  • Вопрос задан 1 год назад

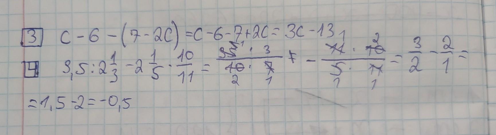
пожалуйста эти 2 задания с решением

Приложения:

Ответы

Ответ дал: Gr1zlybs
1

P.S.: можна пожалуйста "Лучший ответ"? :)

Приложения:
Вас заинтересует