Ответы
Ответ дал:
1
Ответ:
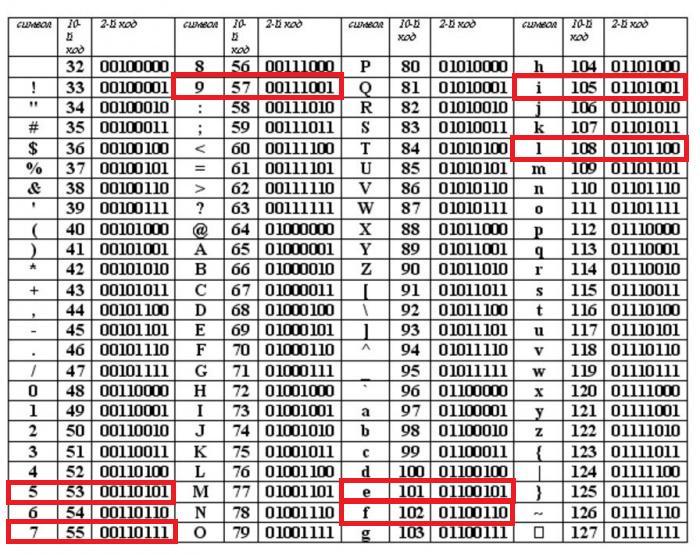
1. 00111001 00110101 00110111
2. 15 байт
3. 240000 байт
4. 325 байт (2600 бит)
5. 70 символов
6. 01100110 01101001 01101100 01100101 (4 байта)
Объяснение:
ASCII 1 символ кодируется 1 байт (8 бит)
1. по фото
2.
15 символов×1 байт=15 байт
3.
100×40×66=240000 символов
240000 символов×1 байт=240000 байт
4.
325 символов×1 байт=325 байт
325 символов×8 бит=2600 бит
5.
560 бит=560÷8=70 байт
70 байт÷1 байт=70 символов
6.
по фото
4 символа×1 байт=4 байт
Приложения:

itop26top:
спс ты топ
Вас заинтересует
1 год назад
1 год назад
2 года назад
8 лет назад