• Предмет: Алгебра
  • Автор: oksana7363j
  • Вопрос задан 2 года назад

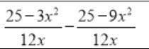
Помогите даю 30 балов

Приложения:

Ответы

Ответ дал: Undery5115
0

Ответ:

в закреплённом лнщрганпнвквнрщлзрш

Приложения:
Вас заинтересует