• Предмет: Алгебра
  • Автор: losaplatonov
  • Вопрос задан 1 год назад

2°. Піднесіть до куба одночлен -0,8х²у.
СРОЧНО 50 БАЛІВ ДАЮ

Ответы

Ответ дал: iramazurk
0

Объяснение:

(-0,8х²у)³ = (-0,8)³ * (х²)³ * у³ =

-0,512 * х⁶ * у³ = -0,512ху³

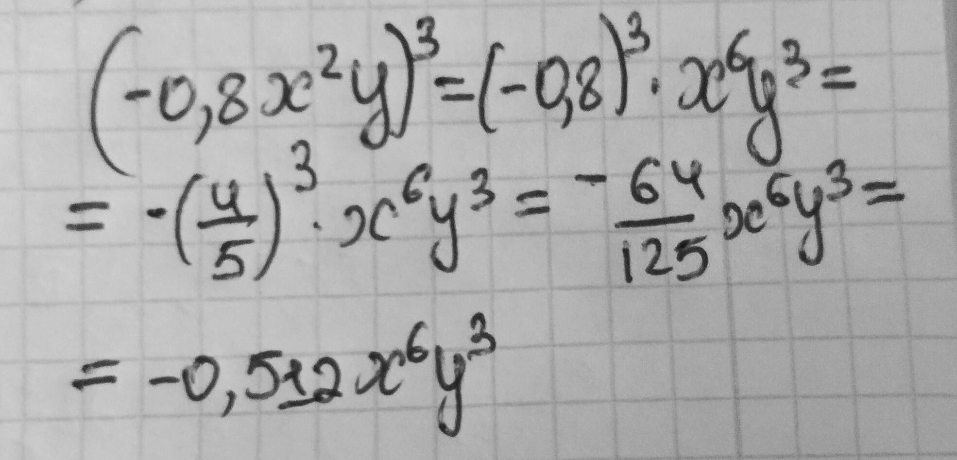
Ответ дал: 1Manka1
0

Ответ:

Объяснение:

на фото

Приложения:
Вас заинтересует