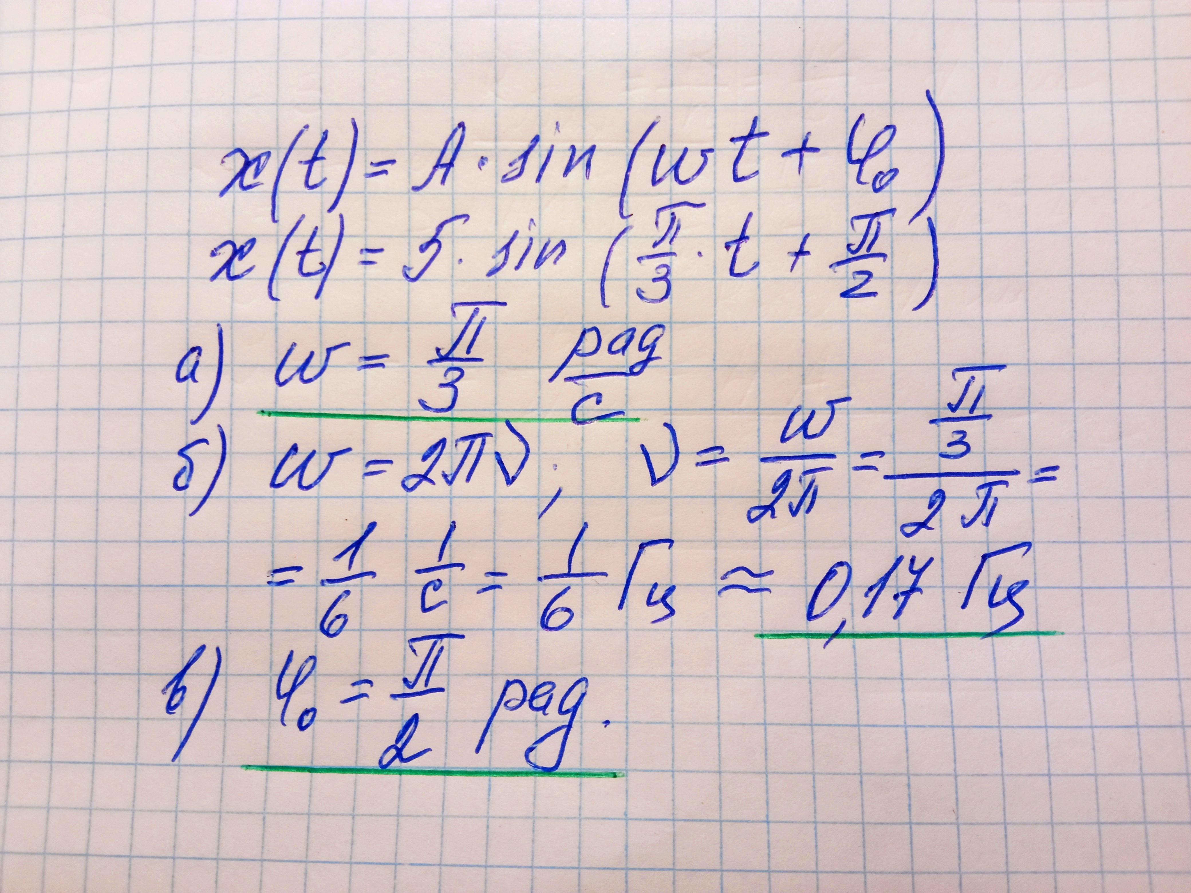
Гармоническое колебание описывается уравнением х=5 sin (п/3 t+ п/2)
Определите:
а) угловую частоту колебаний
b) линейную частоту колебаний
с) начальную фазу колебаний
Пожалуйста, срочно надо
Ответы
Ответ дал:
0
Ответ:
Объяснение:.....
Приложения:

Вас заинтересует
1 год назад
1 год назад
1 год назад
1 год назад
2 года назад