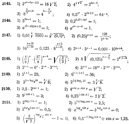
Решите номер 2148, просто вынос мозга, не могу решить, с ответом не сходится, обязательно решение
Приложения:
Ответы
Ответ дал:
0
Смотри ответ во вложении
Приложения:
Вас заинтересует
3 года назад
3 года назад
8 лет назад
8 лет назад
11 лет назад
11 лет назад
11 лет назад