• Предмет: Алгебра
  • Автор: alexandraromanukova
  • Вопрос задан 2 года назад

СРОЧНО ПОЖАЛУЙСТА ДАЮ 100 Б
ХОТЯ БЫ ПЕРВОЕ РЕШИТЬ В ТЕТРАДИ ​

Приложения:

Ответы

Ответ дал: NNNLLL54
0

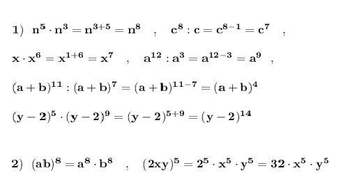
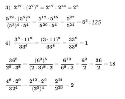
Ответ:

Применяем свойства степеней . Cвойства смотри во вложении .

\bf 1)\ \ n^5\cdot n^3=n^{3+5}=n^8\ \ \ ,\ \ \ c^8:c=c^{8-1}=c^7\ \ \ ,\\\\x\cdot x^6=x^{1+6}=x^7\ \ \ ,\ \ \ a^{12}:a^3=a^{12-3}=a^9\ \ ,\\\\(a+b)^{11}:(a+b)^7=(a+b)^{11-7}=(a+b)^4\\\\(y-2)^5\cdot (y-2)^9=(y-2)^{5+9}=(y-2)^{14}    

\bf 2)\ \ (ab)^8=a^8\cdot b^8\ \ \ ,\ \ \ (2xy)^5=2^5\cdot x^5\cdot y^5=32\cdot x^5\cdot y^5    

\bf 3)\ \ 2^{17}:(2^7)^2=2^{17}:2^{14}=2^{3}\\\\\dfrac{5^{12}\cdot (5^5)^3}{(5^5)^4\cdot 5^4}=\dfrac{5^{12}\cdot 5^{15}}{5^{20}\cdot 5^4}=\dfrac{5^{27}}{5^{24}}=5^3=125\\\\\\4)\ \ \dfrac{3^8\cdot 11^8}{33^6}=\dfrac{(3\cdot 11)^8}{33^8}=\dfrac{33^8}{33^8}=1\\\\\\\dfrac{36^5}{2^9\cdot 3^8}=\dfrac{(6^2)^5}{(2\cdot 3)^8\cdot 2}=\dfrac{6^{10}}{6^8\cdot 2}=\dfrac{6^2}{2}=\dfrac{36}{2}=18\\\\\\\dfrac{4^6\cdot 2^9}{32^4}=\dfrac{2^{12}\cdot 2^9}{(2^5)&^4}=\dfrac{2^{21}}{2^{20}}=2                                  

Приложения:

masha01021: н здравствуйте помогите пожалуйста
masha01021: прошу вас , никто не помогает мне
Вас заинтересует