• Предмет: Алгебра
  • Автор: 7storm14
  • Вопрос задан 2 года назад

Распишите пожалуйста.

Приложения:

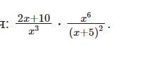
Simba2017: =2(x+5)*x^6/(x^3*(x+5)^2)=2*x^3/(x+5)

Ответы

Ответ дал: d80861751
0

Ответ:

............................

Объяснение:

Приложения:
Вас заинтересует