• Предмет: Алгебра
  • Автор: s21284697
  • Вопрос задан 2 года назад

СРОЧНО ДАЮ СТО БАЛОВ
Спрости вираз і знайди його значення, якщо m = -4,5​

Приложения:

Ответы

Ответ дал: 1Manka1
4

Ответ:

Объяснение:

на фото

Приложения:
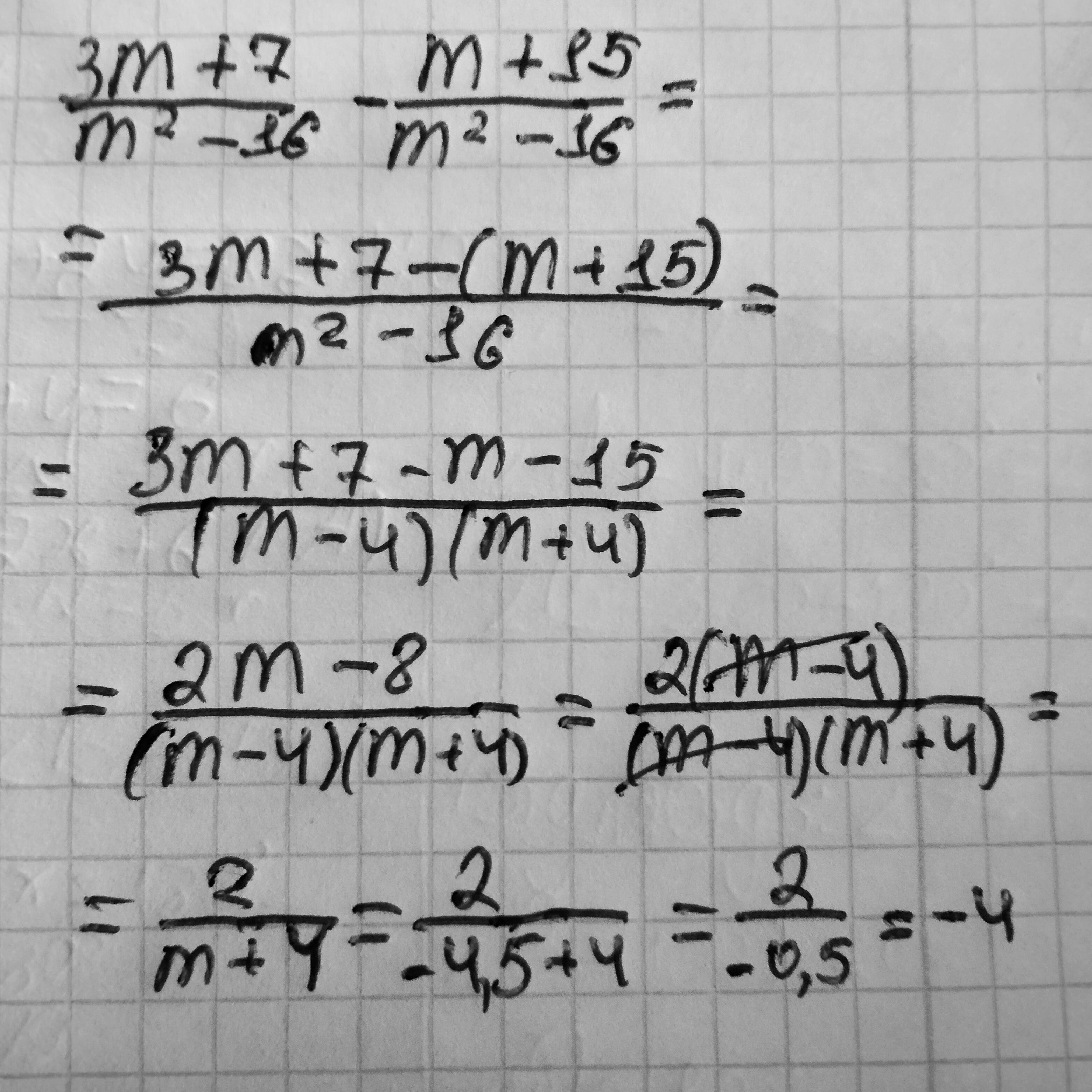
Ответ дал: iramazurk
2

Ответ:

-4

Объяснение:

(3m + 7)/(m² - 16) - (m + 15)/(m² - 16) =

(3m + 7 - (m + 15))/(m² - 16) =

(3m + 7 - m - 15)/(m² - 16) = (2m - 8)/(m² - 16)

m = -4,5

(2m - 8)/(m² - 16) = (2*(-4,5) - 8)/((-4,5)² - 16) =

(-9 - 8)/(20,25 - 16) = (-17)/4,25 = -4

Вас заинтересует