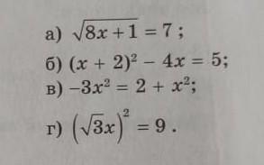
Решите уравнения a) √8x + 1 = 7; 6) (x + 2)² - 4x = 5; B) -3x²= 2 + x²; r) (√3x)² = 9.
Приложения:

Ответы
Ответ дал:
1
Ответ:
1. √8x + 1 = 7
x = 3
2. (x + 2)² - 4x = 5
x = -2
3. -3x² = 2 + x³
x ≈ -0.592 (x имеет варианты ответов как -1 и 1)
4. (√3x)² = 9
x = 3
kuanysabenov2:
хотелось бы решение чтоб прилагалось
Вас заинтересует
1 год назад
1 год назад
2 года назад
2 года назад