• Предмет: Алгебра
  • Автор: sasha060109
  • Вопрос задан 2 года назад

Помогите пожалуйста

Приложения:

Ответы

Ответ дал: ludmilaksenija2005
0

Объяснение:

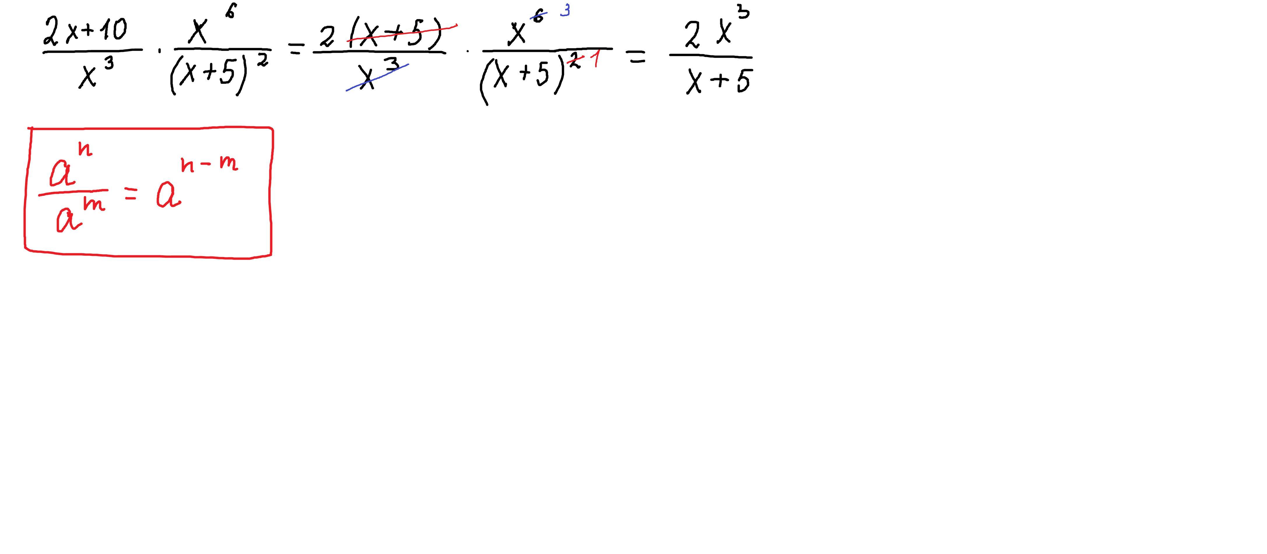
2х+10 х⁶ 2(х+5) •х⁶ 2х³

——— • ———— = —————— = ———

х³ (х+5)² х³•(х+5)² х+5

Ответ дал: parus77
0

Ответ:

2х³ / х+5

Объяснение:

при делении степеней с одинаковым основанием показатели степени вычитаются

Приложения:
Вас заинтересует