• Предмет: Алгебра
  • Автор: gromovaivilina
  • Вопрос задан 2 года назад

помогите пожалуйста умаляю ​

Приложения:

Ответы

Ответ дал: Человек999999
0

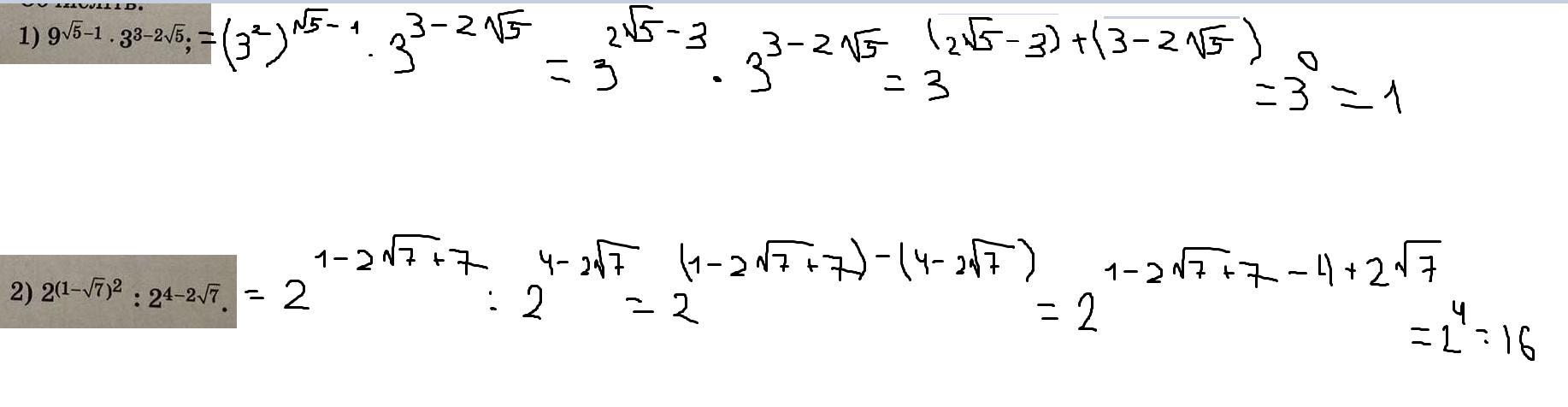
Ответ:

на скрине

Объяснение:

Приложения:
Вас заинтересует