• Предмет: Алгебра
  • Автор: kravchukandrej30
  • Вопрос задан 1 год назад

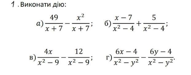
пж добоможить даю 50 балов токо шоб вси завдання були зделани пжжжж

Приложения:

Ответы

Ответ дал: Mmargo999
1

Ответ:

а) 7-х

б)1/х+2

в)4/х+3

г)6/х+у

Объяснение:

фото

Приложения:
Вас заинтересует